This tool calculates kinematic distances in the same manner used in Wenger et al. (2018). It is useful for quickly calculating the kinematic distance of a single object, but users who wish to perform this calculation on many objects or wish to change the default parameters of the calculation should download the code on Github and run it locally. If you use this tool or code in published work, please reference the paper, the ASCL entry, and the DOI: zenodo.1166001.
Given a Galactic longitude, latitude, LSR velocity, and LSR velocity uncertainty, this tool calculates the kinematic distance using three different methods:
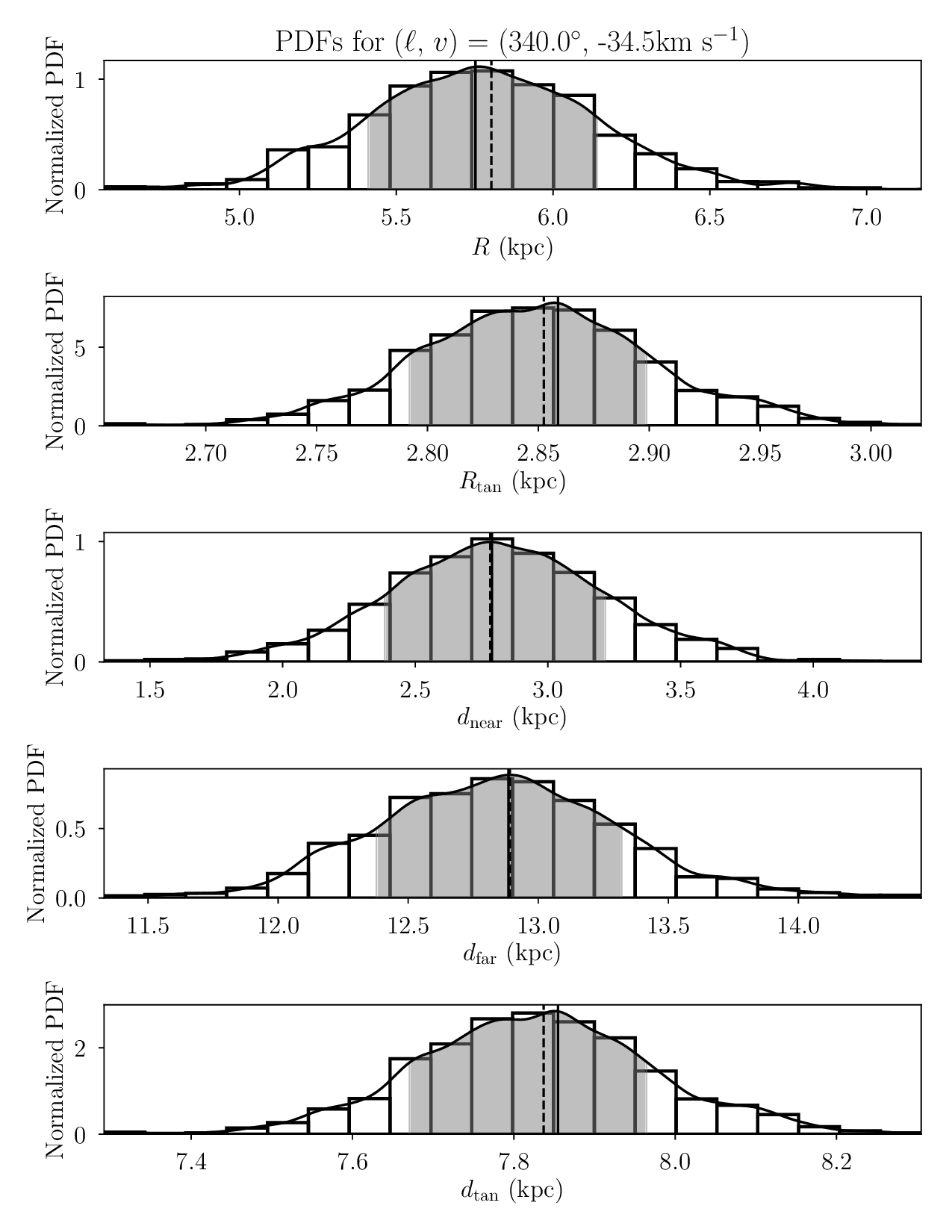
Below is the output from your job:
Input longitude: 340.0 deg
Input latitude: 0.0 deg
Input velocity: -35.0 km/s
Input velocity error: 5.0 km/s
Method A: Traditional kinematic distance, Brand & Blitz (1993) rotation curve, IAU-defined solar motion parameters.
Galactocentric radius: 5.80 kpc
Near kinematic distance: 2.97 kpc
Far kinematic distance: 13.01 kpc
Tangent point kinematic distance: 7.99 kpc
Galactocentric radius of tangent point 2.91 kpc
LSR velocity of tangent point: -139.0 km/s
Using Reid et al. (2014) solar motion parameters to correct LSR velocity.
Corrected LSR velocity: -34.47 km/s
Corrected LSR velocity error: 5.74 km/s
Method B: Traditional kinematic distance, Reid et al. (2014) rotation curve and updated solar motion parameters.
Galactocentric radius: 5.80 kpc
Near kinematic distance: 2.78 kpc
Far kinematic distance: 12.89 kpc
Tangent point kinematic distance: 7.84 kpc
Galactocentric radius of tangent point 2.85 kpc
LSR velocity of tangent point: -117.9 km/s
Warning, cannot import Cython kernel functions, pure python functions will be used instead
convert-im6.q16: profile 'icc': 'RGB ': RGB color space not permitted on grayscale PNG `jobs/1957/340.0glong_-34.46921216535963velo.png' @ warning/png.c/MagickPNGWarningHandler/1667.
Method C: Monte Carlo kinematic distance, Reid et al. (2014) rotation curve and updated solar motion parameters.
The errors (+XX / -YY) represent the 68.3% confidence interval.
Galactocentric radius: 5.75 (+0.39 / -0.34) kpc
Near kinematic distance: 2.79 (+0.44 / -0.40) kpc
Far kinematic distance: 12.89 (+0.44 / -0.51) kpc
Tangent point kinematic distance: 7.85 (+0.11 / -0.18) kpc
Galactocentric radius of tangent point 2.86 (+0.04 / -0.07) kpc
LSR velocity of tangent point: -121.2 (+16.8 / -8.9) km/s
Done!
